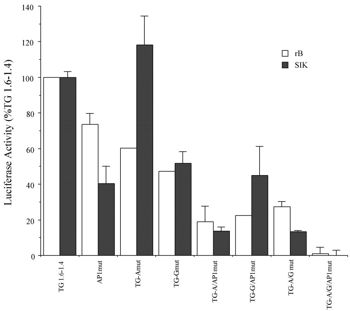
Figure 7

Transcriptional activities of SP1 and AP1 mutants Mutations were introduced into TG 1.6-1.4 by site-directed mutagenesis and assayed by transient transfection into rB (white bars) and SIK (filled bars) cell lines. The promoter with no mutations is designated as TG1.6-1.4; mutant promoters are named according to the sites mutated. Firefly luciferase values were normalized to the value of a cotransfected pRL-CMV plasmid. To assess only the contribution of the distal promoter, the small amount of activity contributed by the short piece of the proximal promoter (0.09 to +67) was subtracted, and the data are expressed as the percentage of the value obtained from the plasmid without mutations (TG1.6-1.4, designated as 100%). Means and SD of a representative experiment are shown. The experiment was performed 3 times with rB cells and 4 times with SIK cells.